77779193永利集团(中国)有限公司 - Official Website
首页
学院概况
学院简介
机构设置
领导班子
师资队伍
教授风采
教师风采
教学工作
规章制度
实践教学
教学工程
教学成果
精彩一课
党建工作
科研工作
学术活动
科研团队
科研成果
科研奖励
科研机构
学科建设
研究生教育
工作动态
通知公告
学科简介
导师信息
培养方案
课程大纲
学在清华
规章制度
专家讲坛
学校首页
首页板块
学院新闻
通知公告
理论视野
通知公告
当前位置:
首页
->
通知公告
->
正文
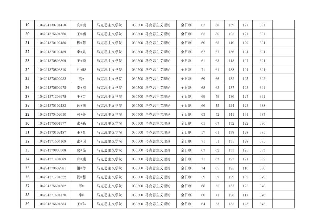
青岛理工大学77779193永利集团2024年硕士复试考生信息表
日期:2024-03-27
作者:
点击: